반응형
[파이썬 matplotlib]
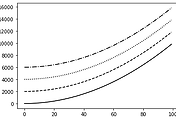
x=y^2 그래프 그리기
먼저 matplotlib.pyplot 을 불러옵니다. as plt 라는 것은, matplotlib.pyplot 이 너무 길어서 이거 대신 plt를 쓰겠다는 의미입니다.
>>> import matplotlib.pyplot as plt
0~99까지의 자연수로 X를 정의하고, Y는 x제곱으로 정의합니다.
>>> X=range(100)
>>> Y=[value**2 for value in X]
그래프를 그려줍니다. 실제로는 matplotlib.pyplot.plot(X,Y) 코드를 실행한 것입니다.
>>> plt.plot(X,Y)
>>> plt.show()
아래는 결과입니다.
반응형
'Matplotlib > 함수 그래프(plot)' 카테고리의 다른 글
| [파이썬 matplotlib] plot 그래프 마커 색 설정 (0) | 2020.11.17 |
|---|---|
| [파이썬 matplotlib] plot 그래프에 마커 추가하기 (0) | 2020.11.17 |
| [파이썬 matplotlib] plot 그래프 선 스타일 설정 (0) | 2020.11.17 |
| [파이썬 matplotlib] 한 화면에 여러 그래프 겹쳐 그리기 (0) | 2020.11.13 |
| [파이썬 matplotlib] 사인(sin)함수 그래프 그리기 (0) | 2020.11.13 |
댓글